Charlie Kirk Case Files
Tyler Robinson
Court
Judge Tony Graf
Utah Fourth District Court
Agency: UTAH COUNTY SHERIFF
Provo District
Submission ID #: 3307381
Filing Date: 2025-09-12
Court Records Link (paid)
Charges
Aggravated Murder – A first-degree felony under Utah Code § 76-5-202, carrying the potential for the death penalty, due to the intentional killing of Kirk during a public event.
Felony Discharge of a Firearm Causing Serious Bodily Injury – A second-degree felony under Utah Code § 76-10-508.1, reflecting the use of a Mauser 98 .30-06 rifle that resulted in Kirk’s death.
Obstruction of Justice – A third-degree felony under Utah Code § 76-8-306, based on evidence suggesting Robinson attempted to evade capture during the 33-hour manhunt following the shooting.
Court Proceedings
Charging Briefing
September 16, 2025
Intial Appearance
September 16, 2025
Files
Criminal Information
Probable Cause Statement
Murder: No Bond
Murder: Public Safety Assessment Report
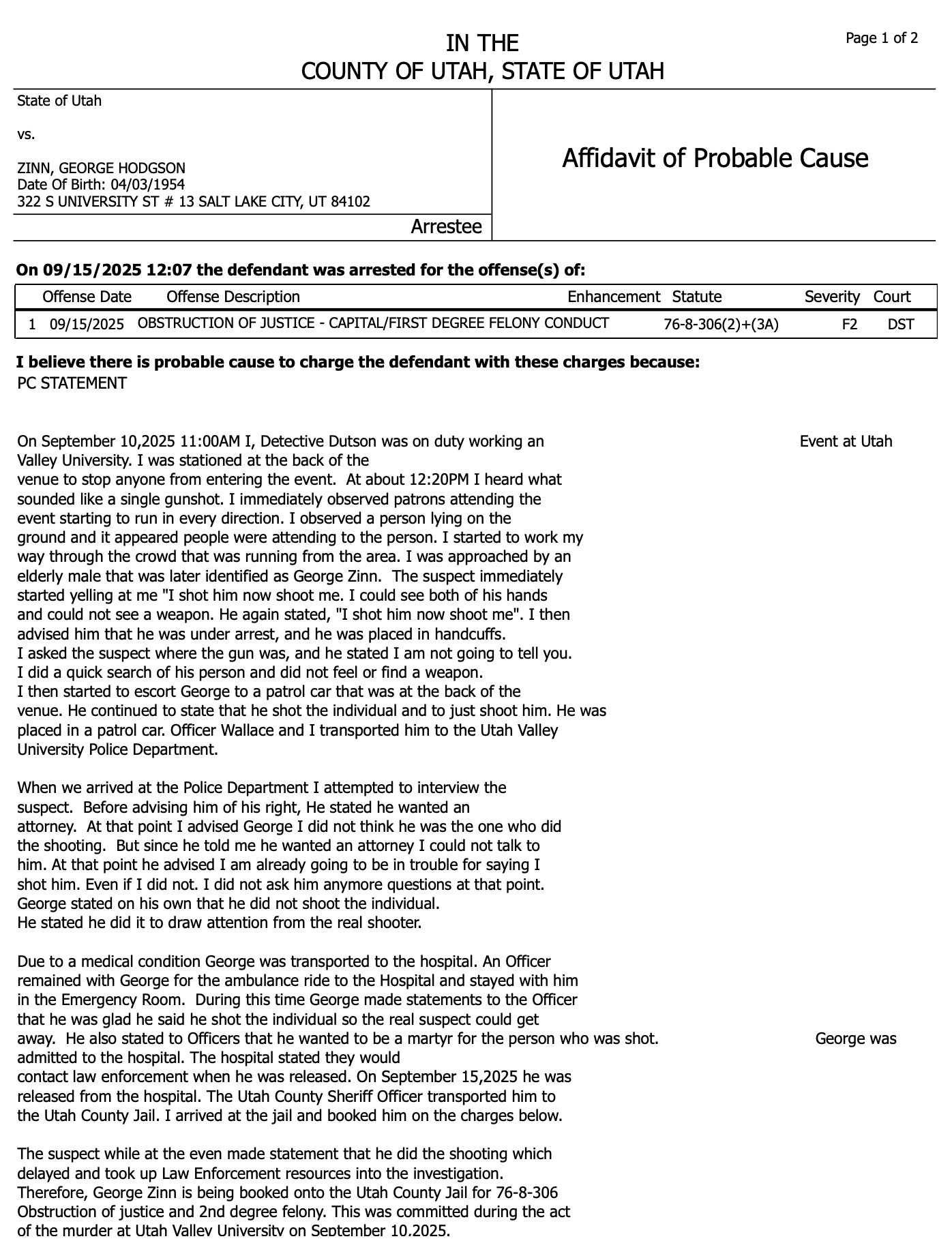
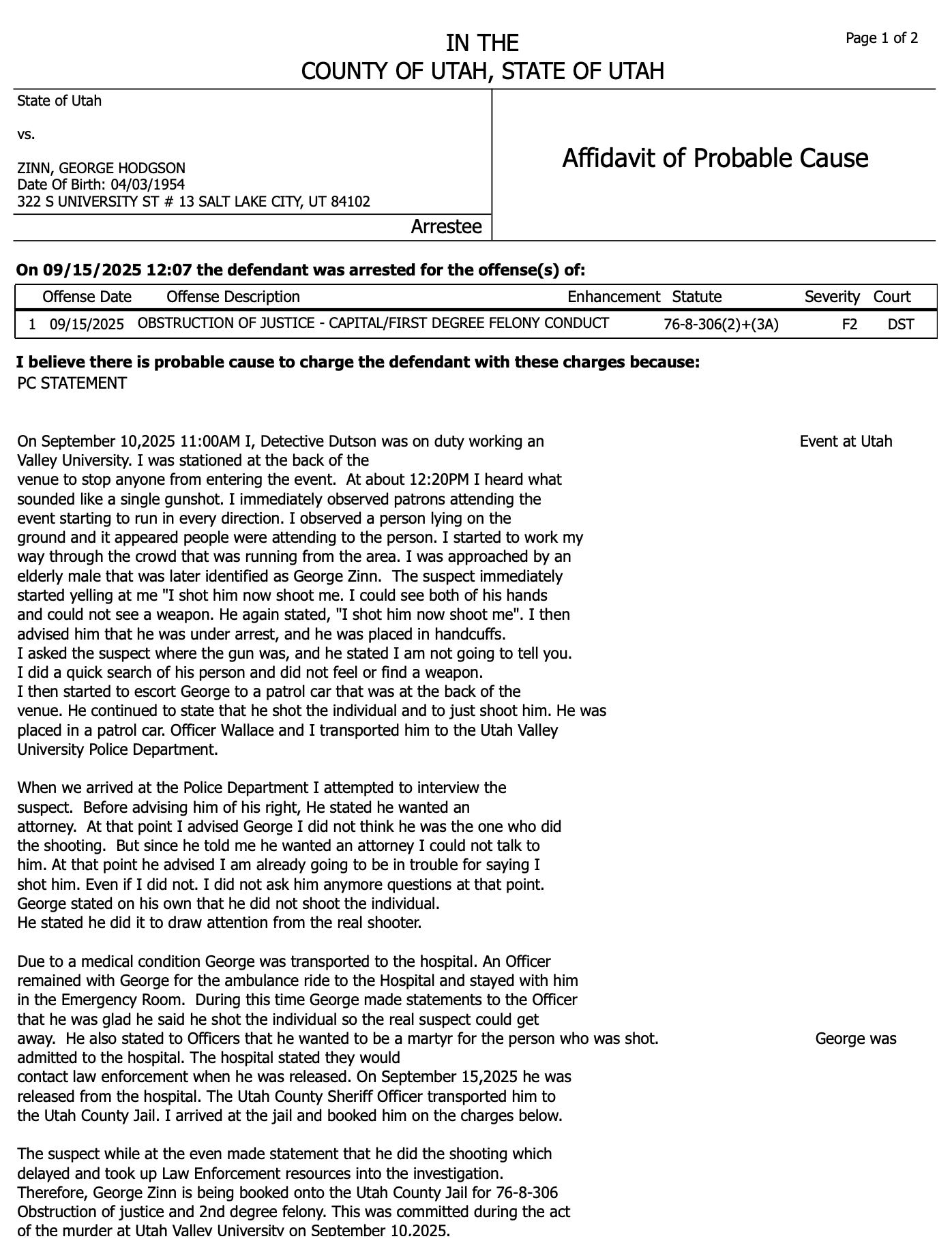
George Zinn
Obstruction of Justice
Case # / Submission ID #:3311521
UTAH COUNTY SHERIFF Provo District 3311521 2025-09-15 GEORGE ZINN
Obstruction Probable Cause
No Bond
Public Safety Assessment
Sex Crimes
UTAH COUNTY SHERIFF Provo District 3311761 2025-09-15 GEORGE ZINN
Case # / Submission ID #: 3311761
Exploitation Probable Cause
No Bail
Public Assessment






























The reading of charges against him show how horrific and evil the act truly was! RIP Charlie! There will be accountability! I personally am not quite ready to forgive this evil!!